Kaufen Sie Methylbutyrat 99 ACROS Organics bei Fisherscich. In der Natur findet er sich beispielsweise in Bananen und Erdbeeren.
![]()
File Methyl Propionate Structure Svg Wikimedia Commons
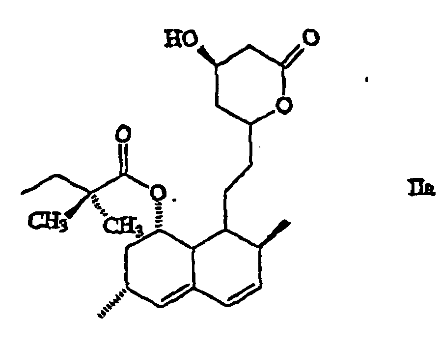
Mevastatin Andere Namen Compactin 1S7S8S8aR- 8-2-2R4R- 4-hydroxy-6-oxooxan-2-yl ethyl-7-methyl- 123788a-hexahydronaphthalen-1-yl 2S-2-methylbutanoat.
Strukturformel von Methylbutanoat. Mevastatin Andere Namen Compactin 1S7S8S8aR-8-2-2R4R-4-Hydroxy-6-oxooxan-2-ylethyl-7-methyl-123788a-hexahydronaphthalen-1-yl2S-2-methylbutanoat. Die Esterbildung Veresterung verläuft also umkehrbar und führt gewöhnlich zu typischen Gleichgewichten in welchen sowohl Alkohol wie. C 5 H 10 O 2.
Nova gewonnen oder alternativ synthetisch hergestellt. C 9 H 18 O 2. Lovastatin ist ein Arzneistoff aus der Gruppe der Statine der zur Behandlung der Hypercholesterinämie eingesetzt wird.
Josamycin ist ein Antibiotikum aus der Gruppe der Makrolide. Durch Kochen mit Wasser können Ester wieder in Säure und Alkohol gespalten verseift werden. Strukturformel Allgemeines Name Pentylbutanoat Andere Namen Pentylbutyrat n-Amylbutyrat Summenformel.
Geeignet ist hängt von der Art der Substanz und des Lösungsmittels ab. Buttersäuremethylester wird durch eine säurekatalysierte Reaktion von Methanol mit Buttersäure Butansäure gewonnen. In der folgenden Reihe nimmt die Stärke zu.
Bornylacetat Strukturformel Keine Strukturformel vorhanden Allgemeines Name Bornylacetat Andere Namen 177-Trimethylbicyclo221hept-2-yl-3-methylbutanoat. 2-Methylbuttersäureethylester ist eine chemische Verbindung aus der Gruppe der Carbonsäureester die in zwei enantiomeren Formen vorkommt4 Sie entsteht durch Veresterung von. Carbonsäuren bilden mit Alkoholen Ester wobei gleichzeitig Wasser entsteht.
R -2-Methylbuttersäureethylester oben und S -2-Methylbuttersäureethylester unten Allgemeines. Farblose Flüssigkeit Eigenschaften Molare Masse. Lovastatin wurde aus dem Schimmelpilz Aspergillus terreus isoliert und wird natürlich auch von bestimmten höheren Pilzen wie Pleurotus ostreatus Austernseitling und eng verwandten Pleurotus.
Methyl2-1-5-fluorpentyl-1H-indazol-3-carboxamido-3-methylbutanoat C19H26FN3O3 5F-SDB-006 N-Benzyl-1-5-fluorpentyl-1H-indol-3-carboxamid fsd C21H23FN2O MT 45 1-Cyclohexyl-4-12-diphenylethylpiperazin mt 34854 C24H32N2 sdb SDB-006 32044 695213-59-3 th 1364933-55-0 THJ-018 JWH-018 Indazol-Analogon 34244 C23H22N2O. Auch gegen eine Reihe von. Das Trockenmittel wird in kleinen Portionen zu der Lösung gegeben und immer wieder umgeschüttelt.
1S3R7S8S8aR- 8-2-2R4R-4-Hydroxy- 6-oxooxan-2-ylethyl- 37-dimethyl-123788a-hexahydro naphthalin-1-yl 2S-2-methylbutanoat Summenformel C 24 H 36 O 5. 090 gcm 3 20 C Schmelzpunkt. Kaufen Sie Methyl2-Methylbutyrat 98 Acros Organics bei Fisherscide.
Es war das erste von der FDA zugelassene Statin August 1987. 111-Trichlorethan Methylchloroform Ethenyltrichlorid 111-Trifluorethan R143a 111-Trimethylolpropan 111-Trishydroxymethylpropan 2-E. C 23 H 34 O 5.
Es wird soviel Trockenmittel zugegeben dass es beim Umschütteln nicht mehr verklumpt. R-COOH R-OH R-COO-R H2O. Anschließend wird das Gefäß verschlossen und von Zeit zu Zeit umgeschüttelt.
Strukturformel Allgemeines Name Buttersäuremethylester Andere Namen Methylbutyrat Summenformel. Nach Aprikosen riechende Flüssigkeit Eigenschaften Molare Masse. Es gibt Atome die das bindende Elektronenpaar stärker anziehen können.
32 hPa 20 C Löslichkeit. Durch die ungleichmäßige Verteilung im Molekül erhalten sie eine negative Teilladung. Es wird aus Stämmen von Streptomyces narbonensis var.
Josamycin wirkt gegen grampositive Bakterien wie Staphylokokken und Streptokokken sowie gegen Mykoplasmen Chlamydien und viele anaerobe Bakterien. C 23 H 34 O 5. Buttersäuremethylester Methylbutyrat Methylbutanoat CH 3 CH 2 CH 2 COOCH 3 ist ein Ester mit Fruchtgeruch der an Apfel oder Ananas erinnert.
Gib die Lewis-Formel für Kohlenstoffdioxid CO 2 an. 0060 gl in Wasser 20 C Sicherheitshinweise.

Ep0864569b1 Verfahren Zur Herstellung Simvastatin Von Lovastatin Oder Mevinolinsaure Google Patents

Ep0170243b1 Fermentationsverfahren Zur Herstellung Von Karbonsaurealkylestern Google Patents
ads
Search This Blog
Blog Archive
- April 2023 (34)
- März 2023 (148)
- Februar 2023 (139)
- Januar 2023 (184)
- Dezember 2022 (94)
- November 2022 (73)
- Oktober 2022 (1)
Labels
- 1967
- absondern
- absondert
- Achsenskelett
- acht
- aerob
- akronym
- Aktionen
- aktiver
- Aktivität
- Aktivitätsgrad
- Aldehyd
- alkane
- Alkohol
- Alkoholen
- alle
- Alltagsgebrauch
- Aminosäuren
- anaerob
- Anatomie
- Anatomiebild
- Anatomiediagramm
- anatomischer
- angst
- animal
- anorganische
- anorganischen
- ansteckend
- Anwendung
- Anzahl
- Apparat
- Apparates
- Arbeitsblatt
- Areolarbindegewebe
- Armdiagramm
- Arten
- Arterien
- Astrologie
- Astrologiezeichen
- Atemwege
- ätherisches
- Atmungssystems
- Augapfels
- Auge
- Auges
- Ausfluss
- ausgeschüttet
- ausgewogene
- Aussehen
- äußeren
- Auswirkungen
- axiales
- babys
- bake
- Bakterien
- Bakterienzelle
- Bakterienzellen
- Bauchspeicheldrüse
- bedeuten
- Bedeutung
- bedürfnisse
- beeinflusst
- beer
- befinden
- befindet
- beginnt
- Begriff
- beim
- Bein
- Beinanatomie
- beinhaltet
- Beinmuskulatur
- Beispiel
- Beispiele
- Benennen
- benennt
- Benennung
- beschreiben
- Beschreibung
- beschrifte
- beschriftenden
- beschriftet
- beschrifteten
- beschriftetes
- Bestandteile
- besteht
- bewegliche
- beweglichen
- bewegt
- Bewegung
- Bewegungsapparates
- Beziehung
- Beziehungs
- bible
- Bienenphobie
- bikuspidalklappe
- Bild
- bilden
- Bilder
- billboard
- Binde
- Bindegewebe
- Bindegewebes
- Biologie
- Bizeps
- Blase
- Blinddarmskelett
- Blinddarmskeletts
- Blut
- Blutdruck
- Blutgefäßstruktur
- Blutgerinnung
- Blutplasmas
- brachii
- Canaliculus
- candy
- Carbonsäure
- Carbonsäuregruppe
- Carbonsäuren
- Carbonylgruppe
- chapters
- Chemie
- chemische
- chemischen
- chemischer
- chemisches
- Chlorgas
- chloroplast
- Chloroplasten
- christmas
- Chromosomenfunktion
- Cyclohexan
- Darm
- Darstellung
- Definiere
- definieren
- definition
- denen
- depressor
- Diagramm
- Diagrammbilder
- dichtem
- dichtes
- Dick
- Dickdarm
- dicke
- Diethylether
- dixie
- doppeltes
- dosis
- drei
- dreiseitigen
- Drüse
- Drüsen
- Drüsentabelle
- dummies
- dünndarm
- Dünndarmbilder
- Dünndarms
- dünne
- durch
- Durchblutung
- durchlässig
- Durst
- Eigenschaften
- eine
- einen
- einer
- eines
- einfache
- einfachen
- einfaches
- Einfügung
- einige
- Einkreis
- element
- Elementverbindung
- Ellenbogengelenk
- Ellenbogengelenks
- Ellenbogens
- endokrine
- endokrinen
- endokrines
- endoplasmatische
- Endoplasmatisches
- engel
- Engelkartenlesungen
- enthält
- Epithelgewebe
- Epithelgewebes
- Epithelzellen
- Erector
- erfolgt
- Erkläre
- Erkrankungen
- Ernährung
- Erwachsene
- Essigsäure
- Estergruppe
- Ethylacetat
- Etiketten
- eukaryontische
- eukaryontischen
- Eukaryoten
- eukaryotisch
- eukaryotischen
- exokrines
- extern
- Extremität
- Extrovertierten
- Fakten
- faserige
- faserigem
- faserigen
- Fasern
- fellowship
- Fernsicht
- ferromagnetischen
- Fettgewebe
- Fibula
- Filamente
- filtern
- filtrat
- Fischen
- flache
- Flussdiagramm
- Folsäure
- foods
- formbares
- Formel
- Formeln
- Forschungsthemen
- fotos
- france
- frei
- freies
- freigesetzt
- freiwillig
- Fugen
- Funktion
- funktionelle
- Funktionen
- funktioniert
- für
- Fuß
- Fußreflexzonenmassage
- Fußumstülpung
- gallons
- Ganzkörper
- gebräuchlicher
- Gefäßgewebe
- gegen
- Gegensatz
- Gegenwart
- gehören
- Gelenkbewegung
- Gelenke
- Gelenken
- genaue
- Gerinnselbildung
- Gesäßmuskels
- geschlossenes
- Gesundheitsrisiken
- Gewebearten
- glatte
- glatten
- gleiche
- gleichen
- Gleitfilamentmodell
- Gleitfilamenttheorie
- Gleitgelenk
- Glücksrad
- golgi
- Granulationsgewebe
- groß
- große
- größte
- Grund
- Grundbestandteile
- grundlegende
- Haaransatz
- Haardiagramm
- Haarfollikels
- Haben
- Hals
- harnröhre
- Harnsystems
- harten
- Hauptabteilungen
- Hauptarterien
- Hauptbestandteil
- Hauptfunktion
- Hauptfunktionen
- Hauptmonosaccharid
- Hauptstadien
- Haut
- hautkrankheit
- Hautkrankheiten
- heart
- heilende
- Hellseher
- Herz
- Herzdiagramm
- Herzdiagramms
- Herzmuskels
- Herzstruktur
- Hexan
- Hirnhäute
- Hirnnerven
- Hominiden
- homogener
- homöopathische
- Homöostase
- Hopi
- Hormon
- hormone
- Hormontabelle
- humerus
- humerusknochen
- hyaliner
- Hypericum
- Hypophyse
- hypothalamus
- ihre
- ihrer
- india
- info
- innere
- Insertion
- intern
- interphase
- inversion
- Isotop
- isotope
- Johanniskrautöl
- Juli
- Kapillaren
- Kapillarwirkung
- Karte
- Kartenlesung
- Kartenlesungen
- Katalysatoren
- keine
- kelvin
- Kern
- Kerns
- Kernsymbols
- Kerzentherapie
- Keton
- Ketonkörper
- kids
- kinder
- klappen
- Klassifikation
- Klassifikationen
- kleinster
- Kniegelenk
- Kniescheibe
- Knochen
- Knochenfunktion
- Knochengewebes
- Knochenmarks
- Knochens
- Knochentyp
- Knorpel
- Knorpelfunktion
- Knorpelgewebes
- Knorpels
- Koffein
- Kohlenhydrat
- Kohlenhydrate
- Kohlenhydraten
- Kohlenstoffe
- kommt
- kompakten
- kompakter
- kondensierte
- Kontraktion
- kontrastieren
- konzentrische
- Kopf
- Körper
- Körperdiagramm
- Körperdiagramms
- Körperknochen
- körperliche
- körperorgane
- Körpers
- Körperteile
- kostenlos
- kostenlose
- kostenloses
- krankheiten
- Kräuterheilmittel
- Kreislauffunktion
- Kreislaufsystem
- Kreislaufsystems
- labii
- lactose
- Ladung
- Lage
- langen
- Lebensmittel
- Lebensmitteln
- leicht
- Lesen
- Lesung
- Liebe
- Liebesbeziehung
- liebeslesungen
- liegt
- linken
- linker
- liste
- lockerem
- lockeres
- Löwe
- Luftzeichen
- lumen
- Lungenkrankheiten
- Lungenkreislaufs
- luteinisierendes
- Lymphgefäße
- Lymphsystems
- Lysomen
- Lysosom
- Lysosomen
- Lysosomenfunktion
- machen
- magen
- Magens
- Magenschleimhaut
- Malvorlagen
- männliche
- markierte
- marks
- Massenzahl
- maximus
- Mechanismus
- medialer
- medizinische
- Medulla
- Meiose
- meiste
- Meisterdrüse
- membrangebundenen
- Mensch
- Menschen
- menschliche
- menschlichen
- menschliches
- Merkmale
- Messungen
- Metaphase
- Methylbutanoat
- Mikroskop
- Mikroskops
- Mikrotubuli
- Mikrovilli
- Milchsäure
- Mischungen
- Mitochondrien
- Mitochondriums
- Mitose
- Molekül
- Moleküls
- Molekülstruktur
- Monosaccharid
- Monosacchariden
- Motoneuron
- Motoneuronen
- Motoneurons
- motorisch
- Mund
- Mundhöhle
- Mundtrockenheit
- Münzen
- Muskel
- Muskelanatomie
- Muskeldiagramm
- Muskelfaser
- Muskelfasertypen
- Muskelgewebe
- Muskelgruppen
- Muskelkontraktion
- Muskeln
- Muskelnamen
- Muskelstruktur
- Muskelsystem
- Muskulatur
- Myofibrille
- Nährstoffen
- name
- Namen
- Natriumchlorid
- Natriumhydrogencarbonat
- Natriumhydroxid
- Natriumhypochlorit
- nebenniere
- Nebennierenrinde
- nein
- Nephrons
- Nervengewebes
- nervensystem
- Nervensystems
- Neuroglia
- Neuronenzellen
- Neuronenzellkörper
- Neutronen
- niedriger
- Niere
- nieren
- Nierendialyse
- Nierenfunktion
- Nierenvene
- normale
- Nukleolus
- oberen
- oberflächliche
- Oberkörpers
- oder
- offenen
- ohne
- Ohren
- Ohrkerzenbehandlung
- online
- Ordnung
- organ
- Organe
- Organellen
- Organfunktionen
- organische
- organischen
- organischer
- Organismen
- Organismus
- Organsystem
- Pantothensäure
- passiven
- Pathologien
- Pentacles
- Pentan
- perforatum
- Periodensystem
- Periodensystems
- Peristaltik
- Peritoneums
- Pflanzen
- Pflanzenorganellen
- Pflanzenzelldiagramm
- Pflanzenzelle
- Pflanzenzellen
- Pflanzenzellendiagramm
- Pflanzenzellteile
- Phagozytose
- Phloemtransport
- photosynthetische
- Pilzen
- Pilzreich
- Plantarflexion
- Plasmamembran
- Plasmodesmata
- Polysaccharid
- Poolchlor
- popular
- positive
- produzieren
- produziert
- Prokaryonten
- prokaryontische
- prokaryontischen
- prokaryotisch
- prokaryotischen
- Propan
- Prophase
- Prostata
- Proteine
- Protonen
- Prozess
- Prozessschritte
- psychische
- quergestreifte
- quergestreiften
- quiz
- Rachens
- Radioaktivität
- Rastertransmissionselektronenmikroskop
- raues
- recipes
- Reflexbogen
- Reflexwirkung
- Reflexzonenkarte
- regelmäßiges
- Retikulum
- richtigen
- ring
- Ritter
- Röhrenknochens
- Rolle
- Rotatorenmanschettenmuskulatur
- Rückkopplungsschleife
- Rückkopplungsschleifen
- Saccharose
- Sarkomers
- Sättigung
- sauerstoffarmes
- sauerstoffreiches
- Schädel
- Schädels
- Schambeinfuge
- Schema
- schematische
- Schichten
- schlechte
- Schleim
- Schließmuskeln
- Schmelzpunkt
- Schmerzen
- Schneidezähne
- schräg
- schrägen
- Schritt
- Schritte
- Schulterblatts
- schüttet
- schwammartige
- schwammiger
- Schwammknochen
- schweißdrüsen
- Schwert
- Schwerter
- sehnen
- seine
- Seitenansicht
- selektiv
- seltene
- sensorisch
- september
- show
- sich
- Siedepunkt
- Sigmas
- sind
- sitzen
- sitzt
- Skelettdiagramm
- Skelettmuskelgewebes
- Skelettmuskulatur
- Skeletts
- Skelettsystem
- Skelettsystems
- Skorpion
- sondert
- songs
- Speiseplan
- spezifisch
- Spielkarten
- spinae
- spirit
- spread
- stadium
- Stammbaum
- steht
- Steinbock
- Sternzeichen
- steuert
- Stickstoffgas
- Störungen
- Streifen
- Struktur
- Strukturen
- Strukturformel
- substanz
- Summenformel
- symbol
- Symbole
- Symptome
- Synovial
- Synovialgelenke
- system
- systems
- systolischen
- täglicher
- Talgdrüsen
- Taror
- tarot
- Tarotkarten
- Tarotlesen
- Tassen
- Teil
- Teilchen
- Teile
- Telophase
- Terminologie
- thai
- Thymusdrüse
- Tibia
- tier
- tierische
- tierischen
- Tierzelldiagramm
- Tierzelle
- Tierzellen
- tone
- Transmissionselektronenmikroskop
- Transmissionselektronenmikroskops
- transport
- Trapezius
- trockener
- tums
- typischen
- über
- übermäßigen
- umgekehrt
- unregelmäßiges
- unter
- unterscheiden
- Unterscheidungsmerkmale
- Unterschenkels
- Unterschied
- Unterschiede
- Urinausscheidung
- Ursprung
- Vakuolen
- veganer
- Vegetarier
- Veilchenblüten
- Venen
- Verbindungen
- verbreiten
- verbreitet
- Verdauungsdefinition
- Verdauungskanals
- Verdauungsprozess
- Verdauungssystem
- Verdauungssystems
- Verdauungstrakt
- Vergangenheit
- Vergleich
- vergleichen
- verschiedene
- verursacht
- verwendet
- Verwendungen
- viel
- viele
- vier
- vitamin
- Vorteile
- während
- warum
- Wassermann
- Wassermolekülen
- Wasserresorption
- Wasserstoff
- Wasserzeichen
- Weichmetalle
- Weichteilverletzungen
- welche
- welchem
- Welcher
- wenn
- werden
- Wirbelsäule
- wird
- Wirkung
- wofür
- Xylem
- Zauberstäbe
- Zeichen
- Zeichne
- Zeichnen
- zeichnet
- Zellatmung
- Zelle
- Zellen
- Zellform
- Zellgewebeorgan
- Zellkern
- Zellkerns
- Zellkörper
- Zellmembran
- Zellmembranen
- Zellorganellen
- Zellstruktur
- Zellteilung
- Zellteilungsstadien
- Zellulosepflanzen
- Zellwand
- Zellzyklus
- Zentrosomenfunktion
- Zukunft
- Zunge
- Zurückziehen
- Zweck
- zwei
- zwischen
- Zytoplasma
- Zytoskelett
-
Oder starten Sie eine neue Suche um noch mehr Stock-Fotografie und Bilder zu entdecken. Anatomie Mensch beinhaltet die makroskopische oder ...
-
Sie als Nächstes eine Art von machine-learning-Technologie genannt ein convolutional neural network zu trainieren einen computer zu identif...
-
Die dazugehörigen Erdzeichen sind Stier Jungfrau und Steinbock. Je nach Geburtstag kann eine Häufung oder aber ein. Lieber Steinbock Erfa...